Operações básicas (05 de 07) – Guarda Civil Municipal – Prefeitura Guaxupé – Instituto Mais (2018) – #028 – Matemática

Instituto Mais 2018:
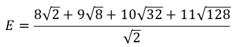
05 de 07 – Considere o número real E tal que
Então, o valor de E, feitas as devidas operações e simplificações, corresponde a
(A) 152.
(B) 153.
(C) 154.
(D) 155.

Deixe uma resposta