Sistemas de Equações (07 de 08) – Assist. Téc. Saúde (ASTS) – Pref. SP – Instituto Mais (2017) – #022 – Matemática

Instituto Mais – 2017:
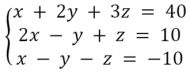
07 de 08. Observe o sistema de equações abaixo.
F 022 - Instituto Mais - Sistemas de EquaçõesConsiderando-se que os valores de x, y e z que satisfazem o sistema de equações do 1º grau acima são números naturais, o MMC (mínimo múltiplo comum), entre tais valores, é igual a
(A) 8.
(B) 10.
(C) 12.
(D) 24.
(E) 30.

Deixe uma resposta