Instituto Mais – 2018:
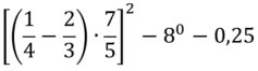
Observe a expressão abaixo.
Assinale a fração correspondente ao valor da expressão acima.
(A) -121/131.
(B) -118/131.
(C) -121/144.
(D) -131/144.
Instituto Mais – 2018:
Observe a expressão abaixo.
Assinale a fração correspondente ao valor da expressão acima.
(A) -121/131.
(B) -118/131.
(C) -121/144.
(D) -131/144.